수능(화학I) (2008년03월14일 기출문제)
1과목 : 과목 구분 없음
1번
다음은 액체 A와 B를 이용하여 만든 두 온도계 중 어떤 것이 체온계로 적합한지 알아본 결과이다.

B와 비교한 A의 성질 중 위의 결과와 가장 관련이 깊은 것은?

B와 비교한 A의 성질 중 위의 결과와 가장 관련이 깊은 것은?
2번
그림은 액체와 고체 상태의 물에서 물 분자가 배열된 모습을 모형으로 나타낸 것이다.

이에 대한 설명으로 옳은 것을 <보기>에서 모두 고른 것은?

이에 대한 설명으로 옳은 것을 <보기>에서 모두 고른 것은?

3번
다음은 진한 염산과 물질 A에 관한 실험이다.

이 실험에 대한 설명으로 옳은 것을 <보기>에서 모두 고른 것은? (단, 연결관의 길이는 같다.) [3점]

이 실험에 대한 설명으로 옳은 것을 <보기>에서 모두 고른 것은? (단, 연결관의 길이는 같다.) [3점]

4번
그림은 어떤 염기 X를 녹인 수용액에 같은 온도의 묽은 염산을 첨가할 때, 묽은 염산의 부피에 따른 여러 가지 이온의 상대적인 수를 나타낸 것이다.

이에 대한 설명으로 옳은 것은? [3점]

이에 대한 설명으로 옳은 것은? [3점]
5번
그림은 묽은 황산과 관련된 몇가지 반응을 나타낸 모식도이다.

A~E에 대한 설명으로 옳지 않은 것은? [3점]

A~E에 대한 설명으로 옳지 않은 것은? [3점]
6번
표는 건조 공기에서 기체 A~C가 차지하는 비율을 부피비와 질량비로 나타낸 것이다.

A~C에 대한 설명으로 옳은 것을 <보기>에서 모두 고른 것은?

A~C에 대한 설명으로 옳은 것을 <보기>에서 모두 고른 것은?

7번
다음은 공기의 성분인 어떤 기체에 대한 설명이다.

이 기체를 이용한 예로 가장 적절한 것은?

이 기체를 이용한 예로 가장 적절한 것은?
8번
25℃에서 그림과 같이 콕으로 분리된 용기에 산소(O2)와 이산화탄소(CO2)가 각각 들어있다.

두 기체에 대한 설명으로 옳은 것을 <보기>에서 모두 고른 것은? [3점]

두 기체에 대한 설명으로 옳은 것을 <보기>에서 모두 고른 것은? [3점]

9번
그림은 일정량의 기체에 대하여 서로 다른 두 온도에서 압력에 따른 부피를 나타낸 것이다.

이에 대한 설명으로 옳은 것을 <보기>에서 모두 고른 것은?

이에 대한 설명으로 옳은 것을 <보기>에서 모두 고른 것은?

10번
그림 (가)는 지표 부근에서 그림 (나)는 성충권에서 일어나는 대기 오염 현상을 화학 반응으로 나타낸 것이다.

이에 대한 설명으로 옳은 것은?

이에 대한 설명으로 옳은 것은?
11번
그림은 3주기 원소로 이루어진 고체 물질 (가)~(다)를 모형으로 나타낸 것이다.

(가)~(다)에 대한 설명으로 옳은 것을 <보기>에서 모두 고른 것은?

(가)~(다)에 대한 설명으로 옳은 것을 <보기>에서 모두 고른 것은?

12번
그림은 금속 M을 질산은 수용액에 넣기 전과 후의 모습을 모형으로 나타낸 것이다.

이와 관련된 옳은 설명을 <보기>에서 모두 고른 것은? [3점]

이와 관련된 옳은 설명을 <보기>에서 모두 고른 것은? [3점]

13번
오른쪽 그림과 같이 칼슘카바이드(CaC2)에 물을 가하여 얻은 기체를 적갈색의 브롬수(Br2)가 든 시험관에 통해주었더니 적갈색이 사라졌다.

이때 시험관에서 생성될수 있는 물질을 <보기>에서 모두 고른 것은?

이때 시험관에서 생성될수 있는 물질을 <보기>에서 모두 고른 것은?

14번
(가)는 페놀프탈레인이 용해된 물에 나트륨을 넣을 때 일어나는 변화를 (나)는 BTB가 용해된 물에 염소 기체를 통해주었을 때 일어나는 변화를 나타낸 것이다.

이와 관련된 설명으로 옳은 것은?

이와 관련된 설명으로 옳은 것은?
15번
금속 A의 부식을 방지하기 위하여 금속 A에 금속 B 또는 C를 도금하여 사용한다. 그림은 도금된 금속에 흠집이 생긴 후 물방울과 접촉했을 때 부식되는 모습을 나타낸 것이다.

이에 대한 설명으로 옳은 것을 <보기>에서 모두 고른 것은? [3점]

이에 대한 설명으로 옳은 것을 <보기>에서 모두 고른 것은? [3점]

16번
그림은 분자식이 C3H6O2인 화합물 (가)~(다)의 구조식이다.

(가)~(다)를 구별하기 위해 반드시 필요한 실험을 <보기>에서 모두 고른 것은? [3점]

(가)~(다)를 구별하기 위해 반드시 필요한 실험을 <보기>에서 모두 고른 것은? [3점]

17번
그림은 합성고분자 조각을 녹여 이를 성형물에 넣고 원하는 모양의 용기로 성형하는 과정을 나타낸 것이다.

그림과 같은 과정으로 용기를 만들 수 있는 합성고분자로 적당한 것을 <보기>에서 모두 고른 것은?

그림과 같은 과정으로 용기를 만들 수 있는 합성고분자로 적당한 것을 <보기>에서 모두 고른 것은?

18번
다음은 소염제로 사용하는 나프록션의 구조식이다.

이 물질에 대한 설명으로 옳은 것을 <보기>에서 모두 고른 것은?

이 물질에 대한 설명으로 옳은 것을 <보기>에서 모두 고른 것은?

19번
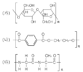
그림은 고분자 화합물 (가)~(다)의 구조를 나타낸 것이다.

(가)~(다)에 대한 설명으로 옳은 것을 <보기>에서 모두 고른 것은? [3점]

(가)~(다)에 대한 설명으로 옳은 것을 <보기>에서 모두 고른 것은? [3점]

20번
다음은 생활 속의 과학 원리를 설명하는 글의 일부이다.

글 (가)에 나타난 ⓐ~ⓒ와 같은 성질의 성분을 포함한 물질을 글 (나)에서 골라 옳게 짝지은 것은? (순서대로 ⓐ, ⓑ, ⓒ)

글 (가)에 나타난 ⓐ~ⓒ와 같은 성질의 성분을 포함한 물질을 글 (나)에서 골라 옳게 짝지은 것은? (순서대로 ⓐ, ⓑ, ⓒ)
연도별
- 2016년09월01일
- 2016년07월06일
- 2016년06월02일
- 2016년04월06일
- 2016년03월10일
- 2015년11월12일
- 2015년10월13일
- 2015년09월02일
- 2015년07월09일
- 2015년06월04일
- 2015년04월09일
- 2015년03월11일
- 2014년11월13일
- 2014년10월07일
- 2014년09월03일
- 2014년07월10일
- 2014년06월12일
- 2014년04월10일
- 2014년03월12일
- 2013년11월07일
- 2013년10월08일
- 2013년09월03일
- 2013년07월12일
- 2013년06월05일
- 2013년04월11일
- 2013년03월13일
- 2012년11월08일
- 2012년10월09일
- 2012년09월04일
- 2012년07월11일
- 2012년06월07일
- 2012년04월10일
- 2011년10월12일
- 2011년09월01일
- 2011년07월13일
- 2011년06월02일
- 2011년04월12일
- 2011년02월28일
- 2010년11월18일
- 2010년10월12일
- 2010년09월02일
- 2010년07월08일
- 2010년06월10일
- 2010년04월13일
- 2010년03월12일
- 2009년11월12일
- 2009년10월15일
- 2009년09월03일
- 2009년07월14일
- 2009년06월04일
- 2009년04월15일
- 2009년03월13일
- 2008년11월13일
- 2008년10월16일
- 2008년09월04일
- 2008년07월15일
- 2008년06월04일
- 2008년04월15일
- 2008년03월14일
- 2007년11월15일
- 2007년10월10일
- 2007년09월06일
- 2007년07월12일
- 2007년06월07일
- 2007년03월16일
- 2006년11월16일
- 2006년10월12일
- 2006년09월06일
- 2006년06월03일
- 2006년04월19일
- 2006년03월11일